义乌龙凤花千坊1314,杭州品茶私人工作室,南京上门外卖工作室,上海419论坛,上海龙凤

新闻资讯

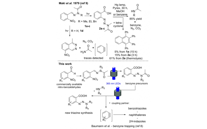
  • 结构多样的苯炔和三嗪前体的模块化光化学流动合成

    一种新的光化学流动工艺,可以高产率和高通量地生成苯炔前体,并且可以轻松分离出数克数量的产品。 该过程利用光激发硝基芳烃进行无催化剂光化学重排,其中涉及已完全表征的环状羟胺中间体。 所得前体通过第二个光化学流动过程转化为苯炔,在用叠氮化物和苯乙烯配合物捕获时产生杂环目标。 值得注意的是,当苯炔前体与仲胺反应时,通过第三次光流转化以良好的产率获得了多种芳基三嗪。 这代表了合成这些物质的模块化方法,避免使用具有潜在爆炸性的重氮盐。 最终,与批量处理相比,使用单个高功率 LED 光源(365?nm,可调节输入功率)的三种光化学流程具有明显的优势。

    2023-08-07

  • 流动条件下光催化反应的发展

    在过去的几年中,光化学和流动化学之间的良好匹配导致了药物发现和API生产领域的应用数量不断增加。这种情况下,优化了流动条件下的不同光化学反应,为药物发现计划生产感兴趣。特别是,我们已经:i)依靠黄原酸酯(xanthates)的光化学Giese加成实现了吡咯的两步伸缩合成ii)通过卤素原子转移(XAT)形成 Csp2-Csp3 键iii)优化吲哚的二氟酰胺化,以提供克级数量,并证明通过两步伸缩合成的

    2023-08-07

  • 将光催化从实验室带入工业:基于膜的TBADT回收作为提高连续流光催化HAT转化可持续性的策略

    提出了有机溶剂纳滤(OSN)作为减少TBADT消耗,增加其周转数量并降低其在产品溶液中的浓度的答案,从而实现大规模基于光催化HAT的转化。优化了适合乙腈中TBADT回收膜的操作参数。连续光催化C(sp3)-H烷基化和胺化反应通过两个OSN步骤进行在线TBADT回收。

    2023-08-02

  • 流动中吡唑啉类的光化学合成

    吡唑啉及其吡唑同族元素是重要的杂环砌块,在精细化工行业中具有众多应用。然而,通往这些实体的传统途径是基于产生大量化学废物的多步骤合成。在这里,我们报告了一种使用紫外光通过无试剂photo-click策略将四唑转化为吡唑啉的替代方法。该路线原位生成丁腈亚胺偶极子,这些偶极子被不同的亲偶极试剂捕获,从而以高化学产量选择这些杂环靶标。最终实现了连续流动方法,该方法以安全且易于扩展的方式生成多克数量的产品

    2023-03-08

  • 用于制造活性药物成分的连续流动化学和光化学(二)

    光化学最近引起了研究人员的极大关注。第一个原因是使用连续流动反应器,它在处理这种光化学反应时提供了很大程度的操作灵活性。第二个原因是反应可以以高度选择性和温和的方式进行(室温、可见光和避免有毒化学品)。在这种情况下,流动和光化学的结合是近年来成功采用的一种优秀方法。

    2022-12-15

  • 用于制造活性药物成分的连续流动化学和光化学(一)

    活性药物成分 (API) 是药物产品中具有生物活性的任何物质。这意味着特定的分子实体能够对目标产生特定的生物学效应。这些成分需要满足非常严格的限制;化学和光学纯度被认为是最重要的。利用连续流动的反应流体流的连续流动合成方法可以很容易地与光化学相结合,光化学与光的化学效应一起工作。这些方法可以成为满足这些严格限制的有用工具。这两种方法都是在温和条件下制备具有高度结构复杂性的天然产物或活性药物成分及其前体的独特而强大的工具。

    2022-12-14

  • 与氯仿的流动按需光气化反应

    使用设计的流动光反应系统,CHCl3 到 COCl2 的氧化光化学转化在气相中有效发生。 半间歇和连续流动反应系统促进了用于合成氯甲酸酯和碳酸酯(包括聚碳酸酯)的克级光气化反应。 利用这种无需化学试剂、催化剂或溶剂即可在短时间内几乎定量进行的光化学反应,我们成功地展示了无溶剂的连续流动反应,包括 CHCl3 光转化为 COCl2 和碱催化的光气化反应与 N- 甲基咪唑或吡啶,其盐酸盐变成离子液体。

    2022-12-07

  • 用于化学工程的微流控反应器概述

    微流控反应器相比间歇反应器具有良好的条件控制、安全性好、易于放大和操作

    2022-09-23

TOP
主站蜘蛛池模板: 台东县| 沙湾县| 许昌市| 北川| 双牌县| 孝义市| 弥勒县| 牙克石市| 曲阳县| 栖霞市| 松潘县| 邢台市| 玉林市| 墨江| 池州市| 都江堰市| 长治市| 兖州市| 金秀| 锡林郭勒盟| 房产| 商城县| 荥经县| 莫力| 乃东县| 大兴区| 稷山县| 杭州市| 宜都市| 嵩明县| 城口县| 陆川县| 广昌县| 禹城市| 淅川县| 汝阳县| 保山市| 察雅县| 临城县| 金阳县| 阳春市|