义乌龙凤花千坊1314,杭州品茶私人工作室,南京上门外卖工作室,上海419论坛,上海龙凤

技术资讯

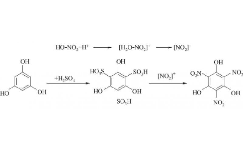
  • 硝化反应:三硝基间苯三酚连续流合成

    三硝基间苯三酚是通过硝化间苯三酚制得的一种重要炸药原料,其合成过程硝化反应条件的控制要精确,以确保产物的纯度和稳定性。该化合物具有高能量密度和良好的爆炸性能,广泛应用于军事和民用领域

    2024-04-05

  • 硝化反应:硝基胍的连续流合成

    采用微通道连续流反应器合成硝基胍,反应时间大大缩短,从传统的数小时缩短到几十秒至几分钟;原料混合充分,温度控制精确,浓硫酸和硝酸的用量大大减少,减少了废酸的产生,且产物的选择性明显提高。

    2024-04-04

  • 二甲戊灵重要中间体连续流制备

    3,4-二甲基苯酚(醚)合成路线,是一种无N亚硝胺产生的新合成方法。该路线反应主要以3,4-二甲基苯酚为原料,经硝化、甲基化、胺化三步反应,得到二甲戊灵。

    2024-04-03

  • 利用流动化学进行无氰化物合成腈

    一种以无氰化物方式合成芳基腈的连续流程。 使用简单的设置和温和的条件,TosMIC(对甲苯磺酰甲基异氰化物)被用作易于获得的前体,通过 van Leusen 反应将酮转化为腈。 由此产生的连续过程速度快(停留时间为 1.5 分钟),并且该方法的可扩展性(高达 8.8 g h?1)和可重复性已在各种丁腈产品中得到证明。

    2024-04-01

  • 通过流动化学创造化学多样性

    在为每个特定应用决定最合适的策略时,起始组分的多样性是一个关键考虑因素,但自动化、模块化流动化学系统的开发使所有这些方法更容易实现。

    2024-03-30

  • 流动化学在实验室中的优势

    流动化学在实验室领域掀起了一场风暴,为反应控制、安全措施、可扩展性和生产率提供了重大改进。我们诚邀您加入我们的行列,探索流动化学的成分、应用以及自动化对这项开创性技术的革命性影响。流动化学以其设备和专业知识的无缝融合而闻名,它彻底改变了我们对实验室操作的感知和交互方式。过去,现代实验室仅依靠艰苦的手动监测和调节,现在拥有高水平的自动化、效率和可靠性。这种技术的进步引领了化学反应和实验室实践领域的发

    2024-03-29

  • 苏州纳米所张学同团队合作AM:在芳纶纳米纤维及其胶体气凝胶的微流控制备方面获重要进展

    利用心形微通道反应器实现了由芳纶粉末到芳纶纳米纤维(M-ANFs)的高效、连续、可视化制备。2 wt.%芳纶纳米纤维分散液的制备仅需7?min,纳米纤维直径范围控制在6-11?nm

    2024-03-28

  • 化学反应优化:放大与生产

    实验室规模反应优化研究的重点是反应产率和纯度的提高、反应成本和绿色度的优化以及最佳后处理/分离方法的开发,而后续工艺设计步骤(放大所必需的)需要解决不同的问题 的要求。 能够以可接受的投资、运营和环境成本以及工艺安全性交付商业相关数量的产品,是这一阶段工艺设计的重点。 此外,在此步骤中研究质量关键参数的持续履行,这对于制药和精细化学品行业至关重要。 满足这些标准的工艺开发被定义为放大,并涉及确定关

    2024-03-21

TOP
主站蜘蛛池模板: 藁城市| 巴里| 乌拉特中旗| 扬州市| 迁西县| 莱西市| 喀喇沁旗| 中西区| 梁山县| 循化| 金塔县| 荆州市| 华安县| 诸城市| 茂名市| 万盛区| 弥渡县| 武乡县| 绍兴市| 安宁市| 盘锦市| 永州市| 尼木县| 米脂县| 游戏| 四子王旗| 讷河市| 临泉县| 涟源市| 新泰市| 青海省| 阳新县| 曲沃县| 广元市| 文水县| 漳浦县| 崇礼县| 正镶白旗| 饶河县| 舟山市| 龙里县|