义乌龙凤花千坊1314,杭州品茶私人工作室,南京上门外卖工作室,上海419论坛,上海龙凤

公司动态

  • 2,4—二氯苯酚

    2,4—二氯苯酚产品用途:2,4—二氯苯酚是重要的有机中间体,在农药工业上主要用于生产杀虫剂酚线磷与除草剂恶草酮、甲酯除草醚、2,4—二氯苯氧系列酸(如乙酸、丙酸、丁酸)及其酯;在医药工业上用于生产驱虫药硫双二氯酚;在助剂工业上用于生产防霉剂TCS。

    2020-06-05

  • 流动化学简介

    流动化学,也称为连续流或柱塞流化学,是一种在连续流动的流体中进行的化学反应。反应物被泵入一个混合装置中,然后流至温度受控的管路、管道或者微结构反应器中直至反应完成。为了促进所需的反应,通常混合装置和反应器都要维持在一个合适温度。但是,为了促进电化学或光化学反应,也会将反应物暴露于电通量或者光子通量中。

    2020-06-05

  • 流动化学成功实现环丙沙星连续合成

    环丙沙星Ciprofloxacin化学名 1-环丙烷基-6-氟-1,4-二氢-4-氧代-7-(1-哌嗪基)-3-喹啉羧酸,为白色至微黄色结晶性粉末;几乎无臭,味苦,几乎不溶于水。临床常用其盐酸盐或乳酸盐,溶于水。

    环丙沙星作用与应用广谱抗菌,抑制细菌 DNA 解旋酶,阻止细菌复制。抗革兰阴性菌作用强,对革兰阳性菌也有效果。口服易吸收,肌注效果更佳。适用于畜禽呼吸道、泌尿道、胃肠道、皮肤和软组织等细菌性和支原体感染。

    2020-06-05

  • 连续流微通道反应器合成哌醋甲酯工艺

    哌醋甲酯(MPH)也叫利他灵是一种可有效治疗患注意力缺陷多动症的孩子的药物。

    2020-06-05

  • 布洛芬连续流全合成工艺

    布洛芬具有抗炎、镇痛、解热作用。治疗风湿和类风湿关节炎的疗效稍逊于乙酰水杨酸和保泰松。适用于治疗轻到中度的偏头痛发作期、偏头痛的预防、慢性发作性偏侧头痛、奋力性和月经性头痛、风湿性关节炎、类风湿性关节炎、骨关节炎、强直性脊椎炎和神经炎等。

    2020-06-05

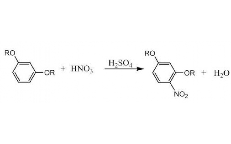
  • 连续硝化反应工艺

    硝化反应是向芳环上引入硝基进一步制备氨基化合物的一条重要途径,进而制备酚、氟化物等化合物。硝化反应放热剧烈,反应快,控制不好会引起爆炸

    2020-06-05

  • 材料:玻璃

    玻璃

    2020-06-05

  • 材料:塑料

    塑料

    2020-06-05

TOP
主站蜘蛛池模板: 自贡市| 华坪县| 广昌县| 申扎县| 秭归县| 鲜城| 临沭县| 平塘县| 长葛市| 修武县| 彰化县| 连州市| 沙田区| 德清县| 德州市| 竹山县| 库尔勒市| 德庆县| 会宁县| 扎鲁特旗| 沧州市| 开江县| 万年县| 京山县| 许昌县| 通城县| 吉林省| 砀山县| 延长县| 桓仁| 龙岩市| 丹江口市| 齐齐哈尔市| 平乐县| 墨脱县| 彰武县| 资阳市| 繁昌县| 邵武市| 留坝县| 铜山县|