义乌龙凤花千坊1314,杭州品茶私人工作室,南京上门外卖工作室,上海419论坛,上海龙凤

案例展示

  • 光氯化(Photochlorination)

    连续流微通道光氯化优势:可提高反应效率并节省作业工序的人力;无需担心自由基引发剂残留物的去除;不使用有爆炸危险的偶氮化合物

    2024-07-09

  • 光化学可以提高化学合成效率

    光氧化还原催化和其他光化学方法已经发现了大量用于C-C和C-X(X = 卤化物和杂原子)键构建方法。光化学与连续流动条件相结合可以提高化学合成的效率,也可以进行原本不可能发生的反应。

    2022-06-15

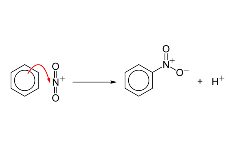
  • 高温反应:取代反应

    取代反应是指有机物分子里的某些原子或原子团被其他原子或原子团所代替的反应, 这产生了称为离去基团的副产物 。包括:卤代反应、硝化反应、磺化反应、卤代烃的水解反应、酯化反应、酯的水解反应等。

    2021-08-04

  • 贝克曼重排反应(Beckmann rearrangement)

    醛肟或酮肟在酸性催化剂作用下重排生成取代酰胺的反应叫贝克曼重排(Beckmann rearrangement)。Beckman重排是亲核重排反应,在重排过程中,迁移基团带着成键电子对迁移到缺电子的原子上。

    2021-06-09

  • 取代反应:Friedel-Crafts反应(傅-克反应)

    Friedel-Crafts反应,简称傅-克反应,是一类芳香族亲电取代反应,是芳香化合物由C-H键形成C-C键的最重要方法之一。该反应主要分为两类:烷基化反应和酰基化反应。

    2021-06-09

  • 催化反应

    催化反应:使用催化剂加快化学反应速率。非均相催化反应指的是催化剂和反应物以两种不同的相存在,如催化剂为固体,而反应物为溶液。均相催化反应指的是催化剂与反应物的相相同,如催化剂和反应物溶解在同一种溶液中。

    2021-06-02

  • 迈克尔(Michael)加成反应

    迈克尔加成(Michael reaction)是最有价值的有机合成反应之一,是构筑碳-碳键的最常用方法之一。

    2021-06-01

  • 格氏反应

    格氏反应(Grignard reaction)过程较为剧烈,需严格控制反应的温度、加料速度等条件。格氏反应的强放热特性使得它非常适合连续化生产。

    2021-05-10

TOP
主站蜘蛛池模板: 辽宁省| 延吉市| 正阳县| 丹寨县| 景德镇市| 永安市| 开阳县| 东宁县| 宣恩县| 克拉玛依市| 旬邑县| 卢龙县| 阜南县| 沈丘县| 含山县| 青海省| 甘泉县| 汉寿县| 舟曲县| 伊通| 怀宁县| 灌云县| 仁布县| 高雄市| 武清区| 汤原县| 西青区| 卢龙县| 从江县| 保靖县| 平顶山市| 温州市| 忻州市| 阳高县| 龙岩市| 故城县| 忻城县| 巴塘县| 永春县| 格尔木市| 禄丰县|