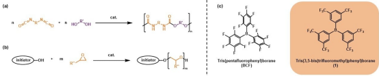
环氧丙烷的开环聚合
美国德克萨斯州陶氏化学公司的研究人员公开了一种改进的环氧丙烷 (PO) 开环聚合 (ROP) 方法,该方法使用三(3,5-双(三氟甲基)苯基)硼烷 (1) 作为催化剂,并基于先前使用三(五氟苯基)硼烷 (BCF) 的方法(图 1)[1]。初步实验评估了不同硼基路易斯酸催化剂的性能,并利用流动化学装置优化了反应条件,从而实现了快速、安全且可重复的反应。随后,研究人员将这些条件转化为工艺规模,并采用半间歇式方法来控制 ROP 反应的高放热量。总体而言,使用硼烷 1 可以降低催化剂用量,并制备出缺陷更少、拉伸强度更高的聚氨酯薄膜,优于先前公开的方法。

聚氨酯:用途极其广泛且日益普及
聚氨酯 (PU) 是一类广泛用于泡沫、弹性体、涂料、粘合剂和纤维复合材料,以及家电、家具和建筑材料的聚合物。[2, 3] 近期对全氟烷基物质 (PFAS) 使用的限制预计将增加全球对聚氨酯的需求,使其成为一种非卤代替代材料,例如用于制造风力涡轮机和电动汽车等可持续技术。[4]
聚氨酯由聚异氰酸酯和多元醇组合而成,如图 1a 所示。市售聚异氰酸酯的结构变化有限,因此聚氨酯的物理和化学性质(受分子量、官能度、亲水性和立体化学构型的影响)主要通过改变多元醇组分来调节。[1]
聚醚多元醇是常用的聚合剂,它是通过在催化剂存在下,以多功能引发剂引发炔烃氧化物(如环氧乙烷 (EO)、环氧丙烷 (PO) 或环氧丁烷 (BO))的开环聚合 (ROP) 制备的。[5] 在工业上,氢氧化钾或双金属氰化物通常用作催化剂,但它们往往会导致聚合反应缓慢、催化剂用量高或产品中伯醇与仲醇的比例不佳。
路易斯酸在聚氨酯制备中的应用
路易斯酸催化提供了一种有价值的替代方案,但尚未实现商业化应用,这可能是由于难以控制使用非活化环氧底物时生成的伯醇和仲醇的比例。BCF 是一种硼基催化剂,它打破了这一现状,在环氧丙烷 (PO) 的开环聚合 (ROP) 过程中对伯醇具有良好的选择性。然而,BCF 的一个主要缺点是反应过程中会生成丙醛 (PA),导致产率降低、副产物生成以及需要额外的纯化步骤——这些因素限制了其工业应用。
连续流反应器可实现快速催化剂筛选
陶氏化学公司的研究团队使用连续流反应器系统筛选了几种与 BCF 类似的硼基催化剂,并监测了 PO 的 ROP 反应以及副产物丙醛 (PA) 的生成情况(图 2)。使用流动反应器尤其有利,因为它能够轻松解决该反应放热性质带来的安全隐患。此外,该反应器的高通量能力和快速部署能力使得能够快速高效地获得实验结果。通过在流动化学装置中加入红外模块,简化了动力学研究的开展,该模块可以同时测量PO转化率和PA生成量。

图 2:连续流反应器系统的简化装置。在动力学实验中,红外模块插入反应器盘管和取样器/洗涤器出口之间。Proglyde 为二(丙二醇)二甲醚。
总体而言,结果表明,催化剂 1(图 1)生成的 PA 量少于 BCF,且对聚合反应动力学影响不大。虽然使用该催化剂导致目标伯醇的区域选择性较低(40-50% 1° OH),但以合理的收率生成伯醇,为之前使用氢氧化钾的方法(该方法仅生成仲醇)提供了一种可行的替代方案。
总之,连续流反应器系统能够安全快速地筛选工业上重要的 PO 开环聚合反应条件。此外,连续流反应器装置的模块化设计使其能够集成红外模块,从而深入了解反应动力学和潜在的合成路径。
Triarylborane-Catalyzed Ring-Opening Polymerization of Propylene Oxide: A Pathway to Superior Polyurethanes. (A. Raghuraman, H. A. Spinney, D. R. Wilson, C. Villa, S. Arora, A. Majumder, J. M. Martinez De La Hoz, M. Paradkar, A. P. Gies, M. Suzuki, A. Keaton, S. Mukhopadhyay, V. Bernales, J.-P. Masy, R. D. Kennedy, Ind. Eng. Chem. Res., 2025, 64, 33, 15982–15996). https://doi.org/10.1021/acs.iecr.5c01981